Jambi, S24-Anggota Dewan Perwakilan Daerah (DPD) RI Dra Hj Elviana MSi merilis jumlah sekolah penerima Beasiswa Program Indonesia Pintar (PIP) di Provinsi Jambi Agustus 2024. Beasiswa ini diperoleh Elviana lewat jalur "Pemangku Jabatan"selaku Anggota DPD RI Dapil Provinsi Jambi.
Elviana mengatakan, dirinya berhasil melobi Pemerintah Pusat untuk mendapatkan Beasiswa Program Indonesia Pintar (PIP) untuk 26 Ribu siswa di Provinsi Jambi tahap pertama April-Agustus 2024.
Jumlah penerima Beasiswa PIPI ini meningkat drastis dari tahun tahun sebelumnya. Sebanyak 25.621 orang pelajar SD, SMP, SMK dan SMA se Prov Jambi mendapatkan beasiswa PIP melalui jalur PEMANGKU JABATAN. SMPN 22 Kota Jambi siswa paling banyak menerima beasiswa yakni 448 siswa.
"Ada beberapa cara untuk melobi di pusat agar bisa mendapatkan beasiswa ini. Tentunya karena memiliki jaringan. Saya berhasil mendapatkan jatah 26 ribu orang beasiswa PIP untuk anak-anak Jambi. Meningkat drastis dari tahun lalu. Namun dari yang memenuhi syarat dan keburu menginput dapat 25.621 orang pelajar SD, SMP, SMK dan SMA se Provinsi Jambi mendapatkan beasiswa PIP melalui jalur PEMANGKU JABATAN," ujar Elviana.
"Ini rekap sekolah di Kabupaten Bungo saya ajukan dapat beasiswa PIP melalui jalur pemangku jabatan APBN 2024. Total 6.764 siswa. Kepsek harus perbaiki dapodik, isi NIK dan NISN dengan benar serta contreng kolom layak PIP agar lebih banyak lagi siswanya dapat diusulkan. Jika teman FBku ada kenal dengan kepseknya minta mereka hubungi saya biar saya kirim nama siswanya dan rekening siswanya segera diaktivasi ke Bank. WA saya: 081274847938,"tulis Elviana.
"Ini rekap sekolah di Kota Sungaipenuh yang saya ajukan dapat beasiswa PIP melalui jalur pemangku jabatan APBN 2024. Total 1.524 siswa. Saya kelompokkan berdasarkan Kecamatan lokasi sekolah. Kepsek harus perbaiki dapodik, isi NIK dan NISN dengan benar serta contreng kolom layak PIP agar lebih banyak lagi siswanya dapat diusulkan. Jika teman FBku ada kenal dengan kepseknya minta mereka hubungi saya biar saya kirim nama siswanya dan rekening siswanya segera diaktivasi ke Bank. WA saya: 081274847938,"tulis Elviana dengan melampirkan daftar penerima BPIP.
"Ini rekap sekolah di Kabupaten Kerinci yang saya ajukan dapat beasiswa PIP melalui jalur pemangku jabatan APBN 2024. Total 3.351 siswa. Saya kelompokkan berdasarkan Kecamatan lokasi sekolah. Kepsek harus perbaiki dapodik, isi NIK dan NISN dengan benar serta contreng kolom layak PIP agar lebih banyak lagi siswanya dapat diusulkan. Jika teman FBku ada kenal dengan kepseknya minta mereka hubungi saya biar saya kirim nama siswanya dan rekening siswanya segera diaktivasi ke Bank. WA saya: 081274847938,"tulis Elviana lewat akun Facebooknya.
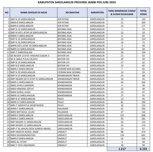
"Ini rekap sekolah di Kabupaten Sarolangun yang saya ajukan dapat beasiswa PIP melalui jalur pemangku jabatan APBN 2024. Total 1.217 siswa. Kepsek harus perbaiki dapodik, isi NIK dan NISN dengan benar serta contreng kolom layak PIP agar lebih banyak lagi siswanya dapat diusulkan. Jika teman FBku ada kenal dengan kepseknya minta mereka hubungi saya biar rekening siswanya segera diaktivasi ke Bank. WA saya: 081274847938,"tulis Elviana.
"Ini rekap sekolah di Kabupaten Tebo yang saya ajukan dapat beasiswa PIP melalui jalur pemangku jabatan APBN 2024. Total 6.617 siswa. Kepsek harus perbaiki dapodik, isi NIK dan NISN dengan benar serta contreng kolom layak PIP agar lebih banyak lagi siswanya dapat diusulkan. Jika teman FBku ada kenal dengan kepseknya minta mereka hubungi saya biar dikirim daftar nama siswanya untuk lanjut aktivasi rekening ke Bank. WA saya: 081274847938,"kata Elviana.
"Ini rekap sekolah di Kabupaten Merangin yang saya ajukan dapat beasiswa PIP melalui jalur pemangku jabatan APBN 2024. Total 3.037 siswa. Dikelompokkan menurut Kecamatan. Kepsek harus perbaiki dapodik, isi NIK dan NISN dengan benar serta contreng kolom layak PIP agar lebih banyak lagi siswanya dapat diusulkan. Jika teman FBku ada kenal dengan kepseknya minta mereka hubungi saya biar saya kirim nama siswanya dan rekening siswanya segera diaktivasi ke Bank. WA saya: 081274847938,"kata Elviana.(AsenkLeeSaragih)
Daftar Sekolah Penerima Beasiswa PIP di Provinsi Jambi

























0Komentar